TEL:0571- 63500669
首页
关于我们
新闻
产品介绍
客户服务
行业应用
资源库
联系我们
您的位置 >
资源库
>
标准法规
在线服务
资源库
工程计算
液体CV计算
气体CV计算
蒸汽CV计算
技术资讯
标准法规
下载中心
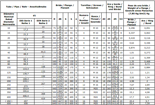
DIN2652-Loose Flange 法兰标准
上一篇:
DIN 2512 法兰标准
下一篇:
DIN2638 Vorschwei flansche 法兰标准
快速导航
海沃产品介绍
海沃选型样本
海沃产品动画
海沃服务热线
ky棋牌官方正版下载 - ky棋牌2025最新版下载V39.39.6.95 安卓版 - 2265安卓网